10 Ağustos 1548 tarihinde, İtalya Milano’da bulunan Santa Maria del Giardino Kilisesi meraklı bir kalabalıkla dolup taşmıştı. Tanıklık etmek istedikleri olay bir kilise etkinliği değil, iki matematik dahisinin düellosuydu.
Tek silahın kıvrak zeka olacağı bu düelloda, Venedikli Niccolo Tartaglia ve Lodovico Ferrari kapışacaktı. Ferrari; Milan’ın en ünlü kişiliklerinden, fizikçi, kumarbaz ve bütün entelektüel işlerin başı olan Girolamo Cardano‘nun hizmetlisi olan bir köylü çocuğu idi.

İşin tuhaf yanı, kimse Cardano’dan pek haber alamıyordu. Düellodan 3 yıl kadar öncesinde Tartaglia’nın kabul etmediği bir matematiksel formül ortaya atarak bu çatışmanın fitilini ateşlemiş ve her ne hikmetse, bir bahaneyle şehir dışına çıkmış ve kendisinden daha iyi bir matematikçi olduğu bariz olan hizmetlisini, şerefini koruması için vekil olarak atamıştı.
Görünüşlerine bakıldığında, bu iki adam akıl oyunlarından ziyade bir sokak arası kavgasına daha çok yakışmaktaydı. Gençliğinde, Fransız askerleri 1512’de Brescia’daki evini yağmaladıkları sırada, çenesine aldığı derin bir kılıç yarası yüzünden Tartaglia’nın suratının biçimi bozulmuştu. Bu yarasını, erişkinliğe ulaştığında sakal bırakarak gizlemeyi başardıysa da aynı yaranın sebep olduğu ve ona Tartaglia (kekeme) takma adını kazandıran konuşma bozukluğunu gizleyememişti. Ferrari de itiş kakış içinde geçen çocukluğunun yaralarını taşıyordu. Hatta, sağ elindeki birkaç parmağını bile kaybetmişti.
O gün, kilisede neler yaşandığını asla öğrenemeyeceğiz. Zeka savaşı olarak planlanan etkinlik muhtemelen bağırış çağırış hengamesine dönüşmüştür. Fakat, ikinci dereceden kanıtlar düelloyu Ferrari’nin kazandığı yönündedir. Seyircilerin arasında bulunan Milan valisi, Ferrari’den o kadar etkilenmiştir ki onu vergi memuru olarak göreve almıştır. Tartaglia, Brescia’daki henüz atandığı öğretmenlik işini, hiç para almadığı gerekçesiyle terk etmiştir. 9 yıl sonrasında, Cardano’nun can düşmanı olarak hayata gözlerini yummuştur. Her şeyi başlatmış kişi olan Cardano’nun namı lekelenmemiş, o da şehre geri dönüp itibarlı bir Rönesans adamı olarak güzel bir yaşam sürdürmüştür.

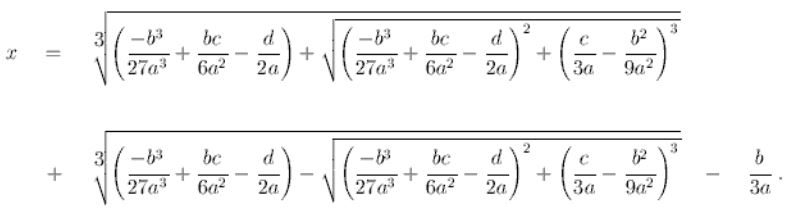
Kilisedeki kapışma, matematik tarihinin en amansız ve tuhaf çekişmesinin kapanış olayı olmakla birlikte, asıl amaç; Roma İmparatorluğu’ndan beri Avrupa’da yapılan ilk matematiksel keşfin haklarına sahip olmaktı. Roma döneminden, 1500’lü yılların başlarına kadar Avrupa, hep dünyanın kalanını ve tabii kendi geçmişini geriden takip etmek zorunda kalmıştır. Tartaglia’nın Cardano’ya güvenip, ona sırrını açtığı ve şu an haksız yere Cardano’ya ait olduğu zannedilen formül; Amerika’nın keşfiyle bir tutulmuştu, zira kadim kitaplarda buna dair ipucu bile bulunmamaktaydı. Bu formül, Kristof Kolomb‘un keşfinin dünya haritasında çok ciddi değişikliklere sebep olan keşfi gibi, matematikte keşif çağını başlatacak ve matematik dünyasının haritasını aynı şekilde değiştirecekti.
Cardano’nun formülünü bilmem ama Doc Notes’in formülü: bitmeyen enerji, sönmeyen hırs ve başarının her hali bence 🙂
BeğenLiked by 1 kişi
çok teşekkür ederim Sametcim, iyi ki varsın..
BeğenBeğen